Главная страница arrow-right Базы данных arrow-right База данных свойств веществ (поиск)
Карта сайта

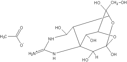
Свойства вещества:

тетродотоксина ацетат


тетродотоксина ацетат
skc-файл

Синонимы и иностранные названия:

tetrodotoxin (англ.)
тарихатоксин (рус.)

Тип вещества:

органическое

Внешний вид:

бесцветн. кристаллы

Брутто-формула (по системе Хилла для органических веществ):

C13H21N3O10

Молекулярная масса (в а.е.м.): 379,32

Температура плавления (в °C):

225

Температура разложения (в °C):

225

Растворимость (в г/100 г растворителя или характеристика):

вода: плохо растворим [Лит.]
диэтиловый эфир: растворим [Лит.]
этанол: растворим [Лит.]

Способы получения:

  1. Многостадийный синтез исходя из левоглюкозенона. [Лит.]
  2. Многостадийный синтез из 2-ацетокси-три-O-ацетил-D-глюкаля [Лит.]
  3. 34-стадийный синтез из D-изоаскорбиновой кислоты. [Лит.]
  4. 28-стадийный синтез из оксима 2-ацетил-5-метилбензохинона. [Лит.]

      Показатели диссоциации:

      pKBH+ (1) = 8,7 (20°C, вода)

      Летальная доза (ЛД50, в мг/кг):

      0,008 (белые мыши, внутримышечно)
      0,008 (мыши, внутрибрюшинно)
      0,01 (человек, перорально)

      Природные и антропогенные источники:

      Содержится в печени и яичниках рыбы фугу (Tetrodon vermicularis, употребляется в пищу). Выделен у калифорнийского тритона (Taricha totosa) и в икре лягушки Atepolus chiriquensis (Коста-Рико).

      Механизм действия:

      Ингибирует потенциал действия мембран нервных клеток; блокирует ранний кратковременный поток ионов натрия, необходимый для начальной деполяризации мембраны нервной клетки. Тетродотоксин эффективен при pH < 8. Активность тетродотоксина связана с наличием гуанидиновой группы.

      Симптомы острого отравления:

      Через 10-45 минут появляются зуд губ, языка и других частей тела, отмечаются обильное слюнотечение, тошнота, рвота, понос, боли в животе. Возникают подергивания мышц, потеря чувствительности кожи, затрудняется глотание, развивается афония. Смерть наступает от паралича дыхательных мышц. Умирает более 60% отравившихся.

      Дополнительная информация::

      Разлагается в кислых и щелочных растворах. Растворим в разбавленной уксусной кислоте.

      Источники информации:

      1. Angewandte Chemie International Edition. - 2004. - Vol. 43, No. 36. - С. 4782-4785
      2. Journal of the American Chemical Society. - 2003. - vol. 125, No. 29. - С. 8798-8805
      3. Journal of the American Chemical Society. - 2003. - vol. 125, No. 38. - С. 11510-11511
      4. Marine Drugs. - 2011. - vol.9, №10. - С. 2046-2074 (способы синтеза)
      5. Marine Drugs. - 2012. - vol.10, №2. - С. 281-305 (использование в терапии боли)
      6. Досон Р., Эллиот Д., Эллиот У., Джонс К. Справочник биохимика. - М.: Мир, 1991. - С. 244
      7. Морской флот. - 1983. - №4. - С. 36-37
      8. Неотложная помощь при острых отравлениях: Справочник по токсикологии. - Под ред. Голикова С.Н. - М.: Медицина, 1977. - С. 236
      9. Химическая энциклопедия. - Т. 5. - М.: Советская энциклопедия, 1999. - С. 526
      10. Химический энциклопедический словарь. - Под ред. Кнунянц И.Л. - М.: Советская энциклопедия, 1983. - С. 727
      11. Хухо Ф. Нейрохимия: Основы и принципы. - М.: Мир, 1990. - С. 146


      Если не нашли нужное вещество или свойства можно выполнить следующие действия:
      Если вы нашли ошибку на странице, выделите ее и нажмите Ctrl + Enter.



      © Сбор и оформление информации: Руслан Анатольевич Кипер