
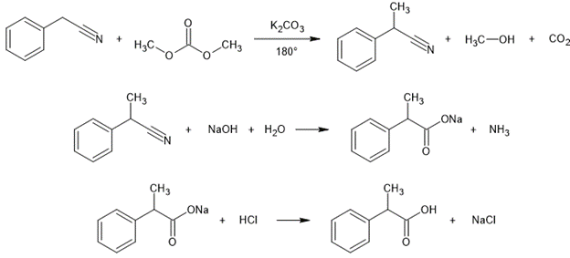
В автоклав из нержавеющей стали марки AISI 316 объёмом 500 мл, снабжённый вентилем для продувки (примечание 1), манометром, термопарой и магнитным якорем (примечание 2) помещают смесь 12,0 г (0,10 мол.) цианистого бензила, 147,8 г (1,64 мол.) диметилкарбоната и 28,4 г (0,21 мол.; примечание 3) поташа. Реакцию ведут в электрической печи при температуре 180° в течение 18 часов (примечание 4), перемешивая массу магнитной мешалкой со скоростью 900 об./мин.
Автоклав вынимают из печи и охлаждают до комнатной температуры. После спуска углекислого газа через вентиль автоклав вскрывают и бледно-жёлтую суспензию переносят в делительную воронку объёмом 500 мл (примечание 5). В смесь приливают 120 мл воды и экстрагируют её тремя порциями по 60 мл эфира. Соединённые органические экстракты сушат 25 г сернокислого натрия, который затем отделяют фильтрованием и промывают двумя порциями по 50 мл эфира.
Эфир и избыток диметилкарбоната отгоняют при помощи роторного испарителя. Полученную жёлтую жидкость (α-фенилпропионитрил; 13,2 г) переносят в круглодонную колбу объёмом 250 мл с обратным холодильником. В колбу добавляют 60 мл 10%-ного раствора едкого натра и смесь 4,5 часов кипятят на масляной бане, перемешивая магнитной мешалкой (примечание 6). За ходом реакции следят с помощью газо-хроматографического анализа (примечание 7). После охлаждения раствора до комнатной температуры его экстрагируют диэтиловым эфиром для удаления нейтральных примесей (в основном следовых количеств амида). Водный слой подкисляют, прибавляя к нему 50 мл 15%-ной соляной кислоты в несколько порций (примечание 8). Полученную суспензию переливают в делительную воронку объёмом 250 мл и экстрагируют тремя порциями по 50 мл эфира. Соединённые органические экстракты промывают 60 мл воды и сушат 25 г сернокислого натрия. Сухой экстракт профильтровывают и упаривают на роторном испарителе. Остающуюся жёлтую жидкость перегоняют при пониженном давлении из колбы объёмом 25 мл с цельнопаяным мостиком для перегонки, включающим насадку Кляйзена, дефлегматор длиной 2 см и холодильник Либиха (примечание 9).
Выход: 14,3 г (93% теоретич.). Полученная гидратроповая кислота представляет собой бледножёлтую жидкость с т. кип. 93—94°/0,9 мм (лит. 147°/11 мм) и имеет чистоту более 98% по результатам газовой хроматографии (примечание 10).
Примечания.
1. Для удаления воздуха перед проведением реакции через вентиль автоклава в течение 3 минут пропускают ток азота комнатной температуры со скоростью около 400 мл/мин. Проверяющие производили продувку, трижды наполняя загруженный автоклав азотом под давлением и затем спуская избыток азота через клапан.
2. Термопару помещают в трубку из нержавеющей стали диаметром 1/8 дюйма (3,175 мм), которая укреплена в крышке автоклава и кончик которой погружается в реакционную массу. Якорь магнитной мешалки имеет длину 60 мм и диаметр 6 мм. Проверяющие использовали автоклав объёмом 500 мл, снабжённый механической мешалкой, термопарой и трубочкой для отбора проб.
3. Диметилкарбонат применяют в большом избытке (15-кратный по отношению к цианистому бензилу) и как метилирующий агент, и как растворитель. Прошлые исследования показали, что диметилкарбонат является подходящим полярным апротонным растворителем. Весь избыточный диметилкарбонат можно регенерировать перегонкой. Можно также применять каталитическое количество (0,05 мол. на 1 мол. нитрила) поташа, но это существенно замедляет ход реакции.
4. В ходе реакции в автоклаве развивается давление до 12 ат. Использование твёрдого поташа в качестве катализатора делает необходимым энергичное перемешивание. Время, необходимое для полного протекания реакции, зависит от скорости перемешивания смеси, которая в свою очередь зависит от формы применяемого сосуда. Несколько синтезов, проведённых проверяющими, заканчивались в 5—6,5 час. Если не следить за ходом реакции с помощью газовой хроматографии, то может образоваться значительное количество нежелательной примеси — α-метил-α-фенилпропионитрила.
5. Несколько капель этой смеси разбавляют эфиром (2 мл), промывают водой (2 мл) и анализируют с помощью газовой хроматографии и ГХМС (капиллярная колонка DB5 длиной 30 м и внутренным диаметром 0,25 мм, толщина плёнки 0,25 мкм). При конверсии, доходящей до 99%, выход α-фенилпропионитрила составляет 98,5%, а α-метил-α-фенилпропионитрила — 0,15%.
6. Температуру масляной бани поддерживают при 130°. Исходная двухслойная смесь по мере протекания реакции становится однородной.
7. Каждый час из реакционной смеси отбирают небольшие (0,2—0,3 мл) аликвоты, которые подкисляют несколькими каплями 35%-ной соляной кислоты и экстрагируют эфиром (2 мл). Эфирные экстракты анализируют газовой хроматографией (капиллярная колонка DB5); в них присутствуют как амид, так и кислота, образующиеся из нитрила. По прошествии 4,5 час. кипячения продукт на более чем 99% состоит из гидратроповой кислоты. Проверяющие следили за ходом гидролиза при помощи тонкослойной хроматографии (пластинки из силикагеля, элюент — смесь гексана и этилацетата (4:1), проявление с помощью коротковолнового УФ). Коэффициенты удерживания (Rf) кислоты и её амида равны 0,43 и 0,61 соответственно.
8. Соляную кислоту прибавляют порциями по 5—7 мл в течение 10 минут. Конечный pH составляет около 2.
9. Описанный мостик является видоизменением прибора для полумикроперегонки, широко известного за рубежом под названием «short-path distillation apparatus». (Прим. перев. с англ.)
10. Продукт имеет следующие спектральные характеристики: ПМР (400 МГц, CDCl3, (CH3)4Si), δ: 1,51 (дублет; 3 H, J = 7,2, CH3), 3,73 (квинтет; 1 H, J = 7,2, CH), 7,31—7,33 (мультиплет; 4 H (?), фенил), 11,5—11,7 (уширенный синглет; 1 H, OH); 13С ЯМР (100 МГц, CDCl3, (CH3)4Si), δ: 18,02; 45,36; 127,24; 127,56; 128,64; 139,68; 181,12; масс-спектр (70 эВ), m/z (относительная интенсивность): 150 (молекулярный ион, 29), 106 (11), 105 (100), 104 (5), 103 (12), 79 (14), 78 (6), 77 (17), 51 (7). Найдено: C, 71,77; H, 6,69. Вычислено: C, 71,98; H, 6,71 (C9H10O2).
(Пер. с англ. Bitrex)