Главная страница arrow-right Базы данных arrow-right База данных свойств веществ (поиск)
Карта сайта

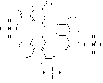
Свойства вещества:

алюмокрезон


алюмокрезон
skc-файл

Тип вещества:

органическое

Внешний вид:

красно-коричнев.

Брутто-формула (по системе Хилла для органических веществ):

C25H29N3O9

Молекулярная масса (в а.е.м.): 515,51

Растворимость (в г/100 г растворителя или характеристика):

вода: растворим [Лит.]
этанол: растворим [Лит.]

      Источники информации:

      1. Химический энциклопедический словарь. - Под ред. Кнунянц И.Л. - М.: Советская энциклопедия, 1983. - С. 30


      Если не нашли нужное вещество или свойства можно выполнить следующие действия:
      Если вы нашли ошибку на странице, выделите ее и нажмите Ctrl + Enter.



      © Сбор и оформление информации: Руслан Анатольевич Кипер