Главная страница arrow-right Базы данных arrow-right База данных свойств веществ (поиск)
Карта сайта

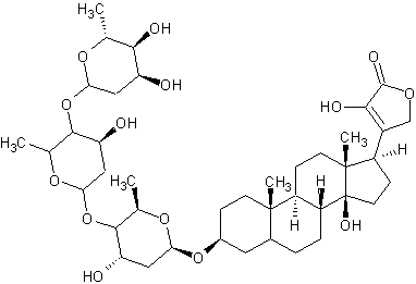
Свойства вещества:

гитоксин


гитоксин
skc-файл

Тип вещества:

органическое

Внешний вид:

бел. кристаллы

Брутто-формула (по системе Хилла для органических веществ):

C41H64O14

Молекулярная масса (в а.е.м.): 780,94

Температура плавления (в °C):

263-265

Растворимость (в г/100 г растворителя или характеристика):

вода: 0,0002343 [Лит.]
этанол: мало растворим [Лит.]

Вкус, запах, гигроскопичность:

вкус: горький

      Летальная доза (ЛД50, в мг/кг):

      2,5 (кошки, перорально)
      0,59 (кошки, внутривенно)
      4,4 (морские свинки, внутривенно)

      Источники информации:

      1. Rocnik. - 2008. - LXXVII, №4. - С. 162
      2. Yalkowsky S.H., Yan H. Handbook of aqueous solubility data. - CRC Press, 2003. - С. 1258
      3. Халецкий А.М. Фармацевтическая химия. - Л.: Медицина, 1966. - С. 546


      Если не нашли нужное вещество или свойства можно выполнить следующие действия:
      Если вы нашли ошибку на странице, выделите ее и нажмите Ctrl + Enter.



      © Сбор и оформление информации: Руслан Анатольевич Кипер