Главная страница arrow-right Базы данных arrow-right База данных свойств веществ (поиск)
Карта сайта

Свойства вещества:

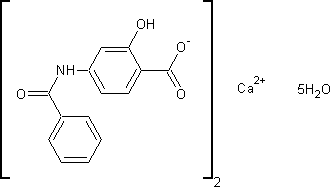
кальция 2-гидрокси-4-бензоиламинобензоат пентагидрат


кальция 2-гидрокси-4-бензоиламинобензоат пентагидрат
skc-файл

Синонимы и иностранные названия:

бепаск (рус.)
кальция п-бензоиламиносалицилат пентагидрат (рус.)

Тип вещества:

неорганическое

Внешний вид:

бел. кристаллы

Брутто-формула (по системе Хилла для органических веществ):

C28H30CaN2O13

Молекулярная масса (в а.е.м.): 642,62

Растворимость (в г/100 г растворителя или характеристика):

вода: практически не растворим [Лит.]
метанол: растворим [Лит.]
этанол: трудно растворим [Лит.]

      Применение:

      Лекарственное средство: противотуберкулезное.

      Источники информации:

      1. Беликов В.Г. Учебное пособие по фармацевтической химии. - М.: Медицина, 1979. - С. 216
      2. Химический энциклопедический словарь. - Под ред. Кнунянц И.Л. - М.: Советская энциклопедия, 1983. - С. 73


      Если не нашли нужное вещество или свойства можно выполнить следующие действия:
      Если вы нашли ошибку на странице, выделите ее и нажмите Ctrl + Enter.



      © Сбор и оформление информации: Руслан Анатольевич Кипер