Главная страница arrow-right Базы данных arrow-right База данных свойств веществ (поиск)
Карта сайта

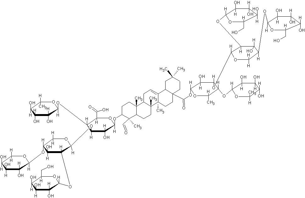
Свойства вещества:

сапоназид D


сапоназид D
skc-файл

Синонимы и иностранные названия:

saponaside D (тривиальное, англ.)

Тип вещества:

органическое

Брутто-формула (по системе Хилла для органических веществ):

C87H138O49

Молекулярная масса (в а.е.м.): 1967,9972

      Природные и антропогенные источники:

      Выделен из растения Saponaria officinalis.

      Источники информации:

      1. Chirva V. Ya., Kintya P. K. The structure of saponaside D / Chemistry of Natural Compounds. - 1973. - Vol. 6, No. 2. - С. 209-212
      2. Dev S., Gupta A.S., Patwardhan S.A. CRC Handbook of Terpenoids. - Vol. II: Triterpenoids, Pentacyclic and Hexacyclic Triterpenoids. - CRC Press, 1989. - С. 433
      3. Studies in Natural Products Chemistry. - Vol. 26: Bioactive Natural Products (Part G). - Elsevier, 2002. - С. 17


      Если не нашли нужное вещество или свойства можно выполнить следующие действия:
      Если вы нашли ошибку на странице, выделите ее и нажмите Ctrl + Enter.



      © Сбор и оформление информации: Руслан Анатольевич Кипер