Главная страница arrow-right Базы данных arrow-right База данных свойств веществ (поиск)
Карта сайта

Свойства вещества:

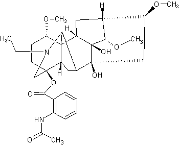
лаппаконитин


лаппаконитин
skc-файл

Синонимы и иностранные названия:

lappaconitine (тривиальное, англ.)

Вещество входит в группы:

алкалоиды и их соли

Тип вещества:

органическое

Внешний вид:

кристаллы

Брутто-формула (по системе Хилла для органических веществ):

C32H44N2O8

Молекулярная масса (в а.е.м.): 584,70036

Температура плавления (в °C):

227

Растворимость (в г/100 г растворителя или характеристика):

бензол: растворим [Лит.]
вода: не растворим [Лит.]
диэтиловый эфир: мало растворим [Лит.]
этанол: мало растворим [Лит.]

Вкус, запах, гигроскопичность:

вкус: горький

      Летальная доза (ЛД50, в мг/кг):

      9,9 (крысы, внутрибрюшинно)
      20 (мыши, перорально)
      6,9 (мыши, внутривенно)
      10,5 (мыши, внутрибрюшинно)

      Источники информации:

      1. Buckingham J. B., Baggaley K. H., Roberts A. D., Szabo L. F. Dictionary of Alkaloids. - 2 ed. - CRC Press, 2010. - С. 15
      2. Lewis R.J. Sax's Dangerous Properties of Industrial Materials. - 12ed., Vol. 1-5. - Wiley, 2012. - С. 2704
      3. Орехов А.П. Химия алкалоидов. - М.: ИАН СССР, 1955. - С. 735
      4. Турсунходжаева Ф.М., Джахангиров Ф.Н., Салимов Б.Т. Антидотное действие дитерпеноидных алкалоидов при отравлении нейротоксинами типа аконитина. Взаимосвязь структура-активность / Химия природных соединений. - 2016. - №5. - С. 725-727 (антидотное действие лаппаконитина при отравлении мышей аконитином, батрахотоксином)


      Если не нашли нужное вещество или свойства можно выполнить следующие действия:
      Если вы нашли ошибку на странице, выделите ее и нажмите Ctrl + Enter.



      © Сбор и оформление информации: Руслан Анатольевич Кипер