Главная страница arrow-right Базы данных arrow-right База данных свойств веществ (поиск)
Карта сайта

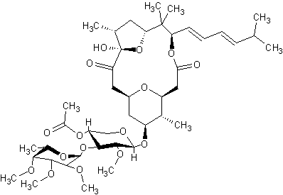
Свойства вещества:

поликавернозид B


поликавернозид B
skc-файл

Тип вещества:

органическое

Брутто-формула (по системе Хилла для органических веществ):

C43H68O16

Молекулярная масса (в а.е.м.): 840,99042

      Разные дозы:

      ЛД99 (мыши, внутрибрюшинно) = 0,2-0,4 мг/кг.

      Источники информации:

      1. Blunt J.W., Munro M.H.G. Dictionary of marine Natural Products. - Chapman and Hall/CRC, 2008. - С. 1613
      2. Botana L.M. Phycotoxins. Chemistry and Biochemistry. - Blackwell Publishing, 2007. - С. 275-280
      3. Dictionary of Natural Products. - 4th supplement, vol. 11. - Springer Science, 1998. - С. 269


      Если не нашли нужное вещество или свойства можно выполнить следующие действия:
      Если вы нашли ошибку на странице, выделите ее и нажмите Ctrl + Enter.



      © Сбор и оформление информации: Руслан Анатольевич Кипер